Упр.164 Повторение ГДЗ Мерзляк 11 класс Базовый уровень (Алгебра)
Решение #1

Рассмотрим вариант решения задания из учебника Мерзляк, Номировский, Полонский 11 класс, Просвещение:
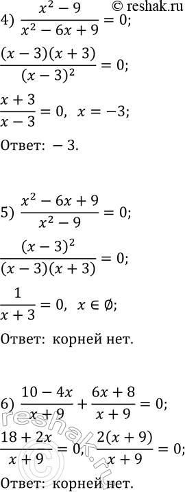
164. Решите уравнение:
1) (x+2)/(x^2-4)=0; 3) (x+2)/(x+2)=1; 5) (x^2-6x+9)/(x^2-9)=0;
2) (x^2-4)/(x+2)=0; 4) (x^2-9)/(x^2-6x+9)=0; 6) (10-4x)/(x+9)+(6x+8)/(x+9)=0.
Похожие решебники
Популярные решебники 11 класс Все решебники
*размещая тексты в комментариях ниже, вы автоматически соглашаетесь с пользовательским соглашением