Упр.16 Повторение ГДЗ Мерзляк 10 класс Углубленный уровень (Алгебра)
Решение #1

Рассмотрим вариант решения задания из учебника Мерзляк, Номировский, Поляков 10 класс, Просвещение:
16. Решите неравенство:
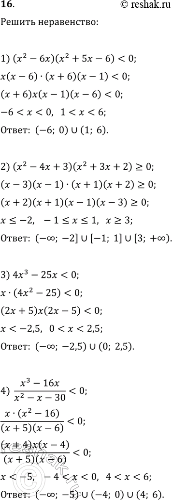
1) (x^2-6x)(x^2+5x-6) < 0;
2) (x^2-4x+3)(x^2+3x+2)?0;
3) 4x^3-25x < 0;
4) (x^3-16x)/(x^2-x-30) < 0;
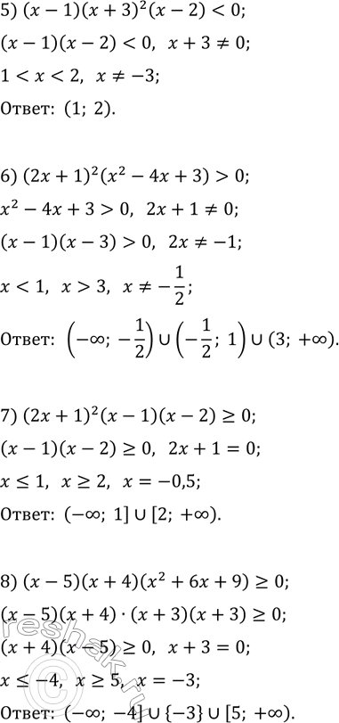
5) (x-1)(x+3)^2 (x-2) < 0;
6) (2x+1)^2 (x^2-4x+3) > 0;
7) (2x+1)^2 (x-1)(x-2)?0;
8) (x-5)(x+4)(x^2+6x+9)?0.
Похожие решебники
Популярные решебники 10 класс Все решебники
*размещая тексты в комментариях ниже, вы автоматически соглашаетесь с пользовательским соглашением