Упр.155 Повторение ГДЗ Мерзляк 11 класс Базовый уровень (Алгебра)
Решение #1

Рассмотрим вариант решения задания из учебника Мерзляк, Номировский, Полонский 11 класс, Просвещение:
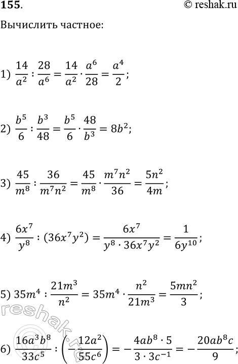
155. Найдите частное:
1) 14/a^2:28/a^6;
2) b^5/6:b^3/48;
3) 45/m^8:36/(m^7 n^2);
4) 6x^7/y^8:(36x^7 y^2);
5) 35m^4:21m^3/n^2;
6) (16a^3 b^8)/(33c^5):(-12a^2/55c^6).
Похожие решебники
Популярные решебники 11 класс Все решебники
*размещая тексты в комментариях ниже, вы автоматически соглашаетесь с пользовательским соглашением