Упр.13 Повторите математику ГДЗ Дорофеев Суворова 9 класс (Алгебра)
Решение #1

Рассмотрим вариант решения задания из учебника Дорофеев, Суворова, Бунимович 9 класс, Просвещение:
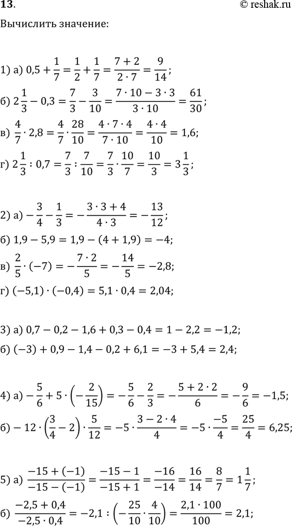
13. Найдите значение выражения:
1) а) 0,5+1/7; б) 2 1/3-0,3; в) 4/7·2,8; г) 2 1/3:0,7.
2) а) -3/4-1/3; б) 1,9-5,9; в) 2/5·(-7); г) (-5,1)·(-0,4).
3) а) 0,7-0,2-1,6+0,3-0,4; б) -3+0,9-1,4-0,2+6,1.
4) а) -5/6+5·(-2/15); б) -12(3/4-2)·5/12.
5) а) (-15+(-1))/(-15-(-1));
б) (-2,5+0,4)/(-2,5·0,4).
Популярные решебники 9 класс Все решебники
*размещая тексты в комментариях ниже, вы автоматически соглашаетесь с пользовательским соглашением