Упр.11 Повторение ГДЗ Мерзляк 10 класс Углубленный уровень (Алгебра)
Решение #1

Рассмотрим вариант решения задания из учебника Мерзляк, Номировский, Поляков 10 класс, Просвещение:
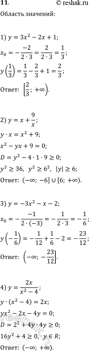
11. Найдите область значений функции:
1) y=3x^2-2x+1; 3) y=-3x^2-x-2;
2) y=x+9/x; 4) y=2x/(x^2-4).
Похожие решебники
Популярные решебники 10 класс Все решебники
*размещая тексты в комментариях ниже, вы автоматически соглашаетесь с пользовательским соглашением