Упр.104 Повторение ГДЗ Мерзляк 10 класс Углубленный уровень (Алгебра)
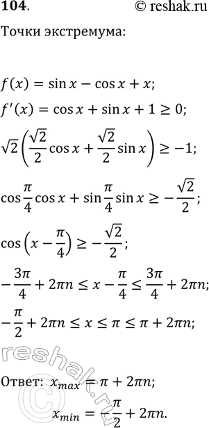
Решение #1

Рассмотрим вариант решения задания из учебника Мерзляк, Номировский, Поляков 10 класс, Просвещение:
104. Найдите точки минимума и максимума функции f(x)=sin(x)-cos(x)+x.
Похожие решебники
Популярные решебники 10 класс Все решебники
*К сожалению, временные проблемы с публикацией комментариев с мобильных устройств.