Упр.10 Повторение ГДЗ Мордкович Семенов 7 класс (Алгебра)
Решение #1 (Учебник 2025)

Рассмотрим вариант решения задания из учебника Мордкович, Семенов, Александрова 7 класс, Бином:
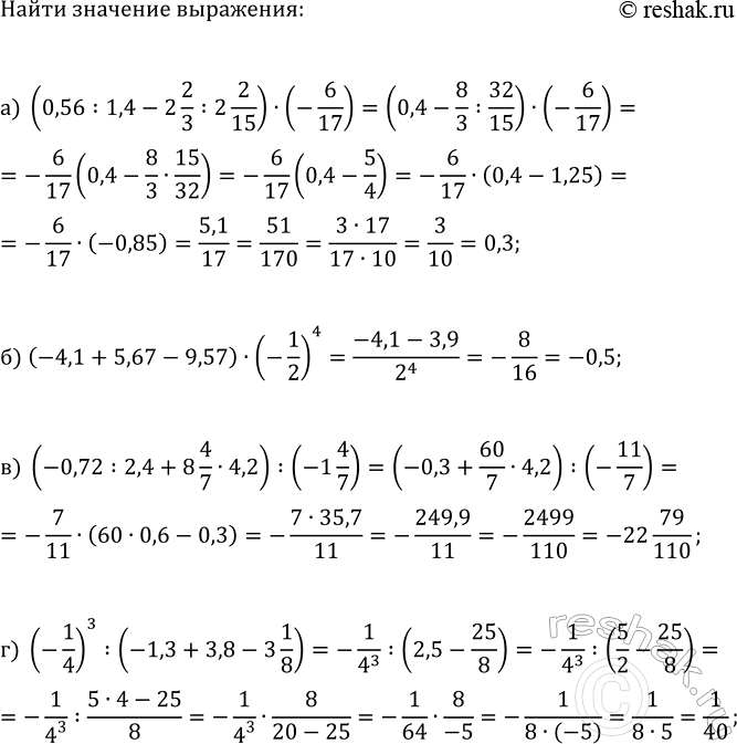
Найдите значение выражения:
а) (0,56 : 1,4 - 2 2/3 : 2 2/15) · (-6/17);
б) (-4,1 + 5,67 - 9,57) · (-1/2)^4;
в) (-0,72 : 2,4 + 8 4/7 · 4,2) : (-1 4/7);
г) (-1/4)^3 : (-1,3 + 3,8 - 3 1/8).
Похожие решебники
Популярные решебники 7 класс Все решебники
*К сожалению, временные проблемы с публикацией комментариев с мобильных устройств.