Задание 81 Повторение Часть 3 ГДЗ Петерсон 3 класс (Математика)
Решение #1 (Учебник 2022)
Решение #2 (Учебник 2012)

Рассмотрим вариант решения задания из учебника Петерсон 3 класс, Просвещение:
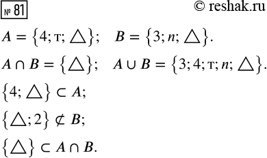
81. По диаграмме Эйлера-Венна определи, из каких элементов состоят множества А и В. Составь множества А ? В и A ? В.
Сделай записи, используя знаки ? и ?:
{4, ?} ... А {?, 2} ... В {?} ... А ? В
81. А — множество трёхзначных чисел, В — множество чисел, оканчивающихся цифрой 2. Запиши с помощью знаков ? и ?, принадлежат ли этим множествам числа: 724, 42, 531, 1022, 738, 63?
Популярные решебники 3 класс Все решебники
*К сожалению, временные проблемы с публикацией комментариев с мобильных устройств.