Задание 7 Повторение Часть 3 ГДЗ Петерсон 3 класс (Математика)
Решение #1 (Учебник 2022)
Решение #2 (Учебник 2012)

Рассмотрим вариант решения задания из учебника Петерсон 3 класс, Просвещение:
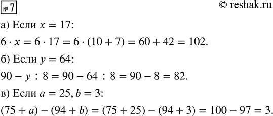
7. Найди значения выражений:
а) 6 · х, если x = 17;
б) 90 - у : 8, если у = 64;
в) (75 + а) - (94 + b), если а = 25, b = 3.
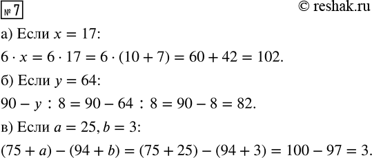
7. Найди значения выражений:
а) 6 · х, если x = 17;
б) 90 - у : 8, если у = 64;
в) (75 + а) - (94 + b), если а = 25, b = 3.
Популярные решебники 3 класс Все решебники
*К сожалению, временные проблемы с публикацией комментариев с мобильных устройств.