Задание 36 Повторение Часть 3 ГДЗ Петерсон 3 класс (Математика)
Решение #1 (Учебник 2022)
Решение #2 (Учебник 2012)

Рассмотрим вариант решения задания из учебника Петерсон 3 класс, Просвещение:
36. Составь программу действий и вычисли:
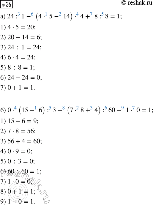
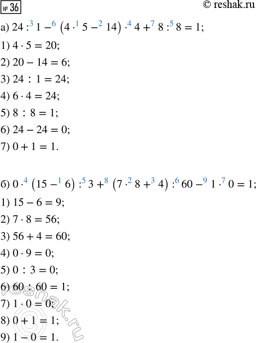
а) 24 : 1 - (4 · 5 - 14) · 4 + 8 : 8;
б) 0 · (15 - 6) : 3 + (7 · 8 + 4) : 60 - 1 · 0.
36. Составь программу действий и вычисли:
а) 24 : 1 - (4 · 5 - 14) · 4 + 8 : 8;
б) 0 · (15 - 6) : 3 + (7 · 8 + 4) : 60 - 1 · 0.
Популярные решебники 3 класс Все решебники
*К сожалению, временные проблемы с публикацией комментариев с мобильных устройств.