Задание 34 Повторение Часть 3 ГДЗ Петерсон 3 класс (Математика)
Решение #1 (Учебник 2022)
Решение #2 (Учебник 2012)

Рассмотрим вариант решения задания из учебника Петерсон 3 класс, Просвещение:
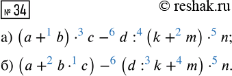
34. Составь программу действий. Что ты замечаешь?
(а + b) · с - d : (k + m) · n;
(а + b · с) - (d : k + m) · n.
34. Укажи порядок действий:
а) (а + b) · с - d : (k + m) · n; в) (а + b · с) - (d : k + m) · n;
б) (а + b) · (с - d) : k + m · n; г) а + (b · с - d) : (k + m · n).
Популярные решебники 3 класс Все решебники
*К сожалению, временные проблемы с публикацией комментариев с мобильных устройств.