Урок 32 Часть 2 ГДЗ Рабочая тетрадь Петерсон 4 класс (2023) (Математика)
Решение #1

Рассмотрим вариант решения задания из учебника Петерсон 4 класс, Просвещение:
1. Назови виды движения. Укажи, в каких случаях расстояние между движущимися точками уменьшается, а в каких - увеличивается.
2. а) Попробуй найти скорость сближения движущихся точек (v_сбл):
Что ты пока не знаешь? Поставь перед собой цель и составь план.
б) Покажи движение точек на координатном луче, заполни пропуски (x_1 и х_2 - координаты движущихся точек, d - расстояние между ними). Что ты замечаешь? Сделай вывод.
Точки сближаются на __ м/с.
Проверь свои выводы по учебнику, стр. 78. Если нужно, исправь ошибки.
3. Придумай задачи по схемам и найди скорость сближения:
4. Из 8 кг шерсти получают 10 м ткани. На один костюм идёт 4 м ткани. Сколько нужно шерсти, чтобы изготовить ткань для 15 таких костюмов?
5. Выдели из дробей целую часть:
а) 3/2 б) 21/8 в) 62/11 г) 156/20
6. Запиши смешанные числа в виде неправильной дроби:
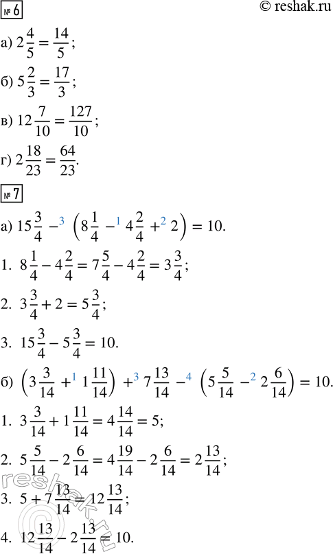
а) 2 4/5 б) 5 2/3 в) 12 7/10 г) 2 18/23
7. Вычисли:
а) 15 3/4 - (8 1/4 - 4 2/4 + 2)
б) (3 3/14 + 1 11/14) + 7 13/14 - (5 5/14 - 2 6/14)
Похожие решебники
Популярные решебники 4 класс Все решебники
*К сожалению, временные проблемы с публикацией комментариев с мобильных устройств.