Упр.217 Часть 2 ГДЗ Дорофеев Петерсон 5 класс (Математика)
Решение #1
Решение #2

Рассмотрим вариант решения задания из учебника Дорофеев, Петерсон 5 класс, Бином:
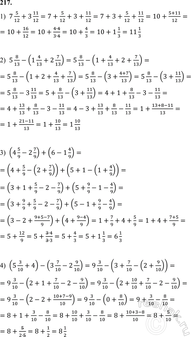
217. Составь выражение и найди его значение:
1) Сумма чисел 7 5/12 и 3 11/12.
2) Разность числа 5 8/13 суммы чисел 1 4/13 и 2 7/13.
3) Сумма разности чисел 4 5/9 и 2 7/9 и разности чисел 6 и 1 4/9.
4) Разность суммы чисел 5 3/10 и 4 и разности чисел 3 7/10 и 2 9/10.
Популярные решебники 5 класс Все решебники
*К сожалению, временные проблемы с публикацией комментариев с мобильных устройств.