Упр.262 Часть 1 ГДЗ Дорофеев Петерсон 5 класс (Математика)
Решение #1
Решение #2

Рассмотрим вариант решения задания из учебника Дорофеев, Петерсон 5 класс, Бином:
262. Выполни действия:
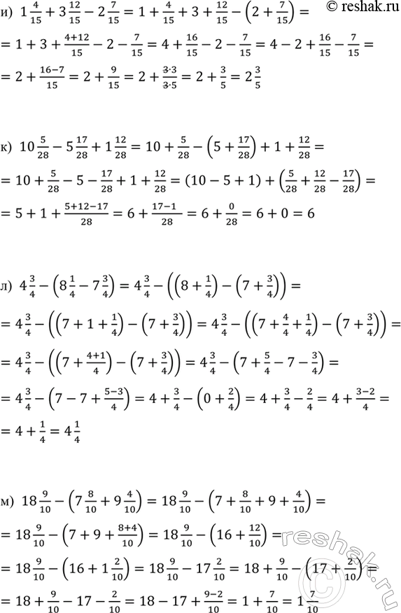
а) 9/16 - 3/16; д) 5 4/7 + 1 2/7; и) 1 4/15 + 3 12/15 - 2 7/15;
б) 1/8 + 7/8; е) 5 6/11 - 3 1/11; к) 10 5/28 - 5 17/28 + 1 12/28;
в) 7/9 + 4/9; ж) 4 7/12 + 2 9/12; л) 4 3/4 - (8 1/4 - 7 3/4);
г) 4/5 - 4/5; з) 8 1/13 - 7 7/13; м) 18 9/10 - (7 8/10 + 9 4/10).
Популярные решебники 5 класс Все решебники
*размещая тексты в комментариях ниже, вы автоматически соглашаетесь с пользовательским соглашением