Упр.936(стар учебник) ГДЗ Дорофеев Суворова 7 класс (Алгебра)
Решение #1

Рассмотрим вариант решения задания из учебника Дорофеев, Суворова, Бунимович 7 класс, Просвещение:
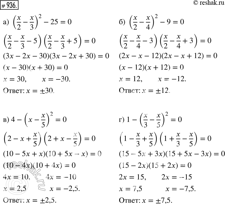
Найдите корни уравнения (936 -937).
936 а) (x/2 - x/3)2 - 25 =0;
б) (x/2 - x/4)2 - 9 =0;
в) 4 - (x-x/5)2 =0;
г) 1-(x/3 - x/5)2=0.
Популярные решебники 7 класс Все решебники
*К сожалению, временные проблемы с публикацией комментариев с мобильных устройств.