Упр.935(стар учебник) ГДЗ Дорофеев Суворова 7 класс (Алгебра)
Решение #1

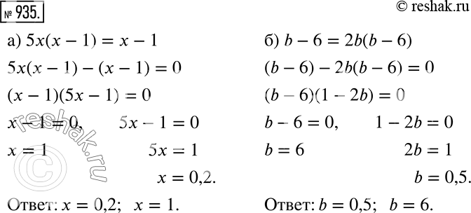
Рассмотрим вариант решения задания из учебника Дорофеев, Суворова, Бунимович 7 класс, Просвещение:
При каких значениях переменной равны значения выражений:
а) 5х(х - 1) и х - 1;
б) b - 6 и 2b(b - 6)?
Популярные решебники 7 класс Все решебники
*К сожалению, временные проблемы с публикацией комментариев с мобильных устройств.