Упр.929(стар учебник) ГДЗ Дорофеев Суворова 7 класс (Алгебра)
Решение #1

Рассмотрим вариант решения задания из учебника Дорофеев, Суворова, Бунимович 7 класс, Просвещение:
Разложите на множители (929—931).
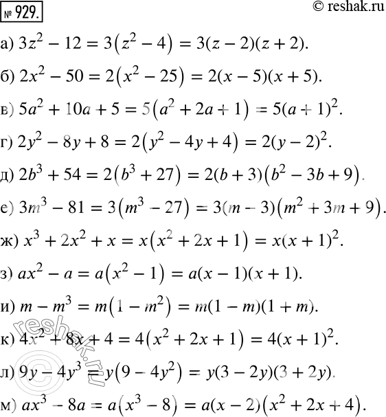
929 а) 3z2 - 12;
б) 2х2 - 50;
в) 5а2 + 10а + 5;
г) 2y2 -8у + 8;
д) 2b3 + 54;
е) 3m3 - 81;
ж) x3 + 2x2 + x;
з) ах2 - а;
и) m - m3;
к) 4x2 + 8х + 4;
л) 9y - 4y3;
м) ах3 - 8а.
Популярные решебники 7 класс Все решебники
*К сожалению, временные проблемы с публикацией комментариев с мобильных устройств.