Упр.928(стар учебник) ГДЗ Дорофеев Суворова 7 класс (Алгебра)
Решение #1

Рассмотрим вариант решения задания из учебника Дорофеев, Суворова, Бунимович 7 класс, Просвещение:
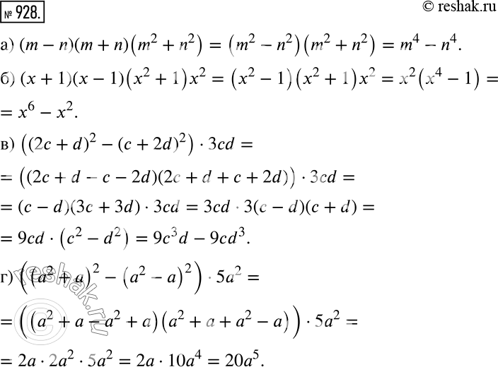
Представьте выражение в виде многочлена, используя формулу разности квадратов:
а) (m - n)(m + n)(m2 + n2);
б) (х + 1)(х - 1)(x2 + 1)х2;
в) ((2с + d)2 - (с + 2d)2) * 3cd;
г) ((а2 + а)2 - (а2 - а)2) * 5а2.
Популярные решебники 7 класс Все решебники
*размещая тексты в комментариях ниже, вы автоматически соглашаетесь с пользовательским соглашением