Упр.927(стар учебник) ГДЗ Дорофеев Суворова 7 класс (Алгебра)
Решение #1

Рассмотрим вариант решения задания из учебника Дорофеев, Суворова, Бунимович 7 класс, Просвещение:
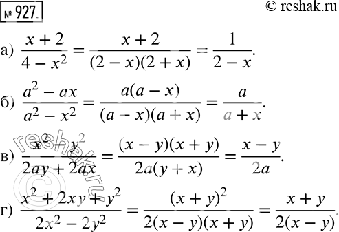
Сократите дробь:
а) (x+2)/(4-x2);
б) (a2-ax)/(a2-x2);
в) (x2-y2)/(2ay+2ax);
г) (x2+2xy + y2)/(2x2-2y2).
Популярные решебники 7 класс Все решебники
*К сожалению, временные проблемы с публикацией комментариев с мобильных устройств.