Упр.920(стар учебник) ГДЗ Дорофеев Суворова 7 класс (Алгебра)
Решение #1

Рассмотрим вариант решения задания из учебника Дорофеев, Суворова, Бунимович 7 класс, Просвещение:
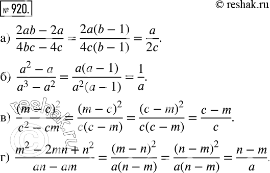
Сократите дробь:
а) (2ab-2a)/(4bc - 4c);
б) (a2-a)/(a3-a2);
в) (m-c)2/(c2-cm);
г) (m2-2mn+n2)/(an-am).
Популярные решебники 7 класс Все решебники
*размещая тексты в комментариях ниже, вы автоматически соглашаетесь с пользовательским соглашением