Упр.919(стар учебник) ГДЗ Дорофеев Суворова 7 класс (Алгебра)
Решение #1

Рассмотрим вариант решения задания из учебника Дорофеев, Суворова, Бунимович 7 класс, Просвещение:
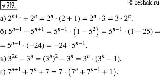
Вынесите за скобки общий множитель:
а) 2^(n + 1) + 2n;
б) 5^(n-1) - 5^(n+1);
в) 3^2n - 3n;
г) 7^(n + 1) + 7n + 7.
Популярные решебники 7 класс Все решебники
*размещая тексты в комментариях ниже, вы автоматически соглашаетесь с пользовательским соглашением