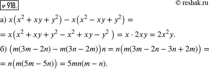
Упр.918(стар учебник) ГДЗ Дорофеев Суворова 7 класс (Алгебра)
Решение #1

Рассмотрим вариант решения задания из учебника Дорофеев, Суворова, Бунимович 7 класс, Просвещение:
Упростите выражение, применяя способ вынесения за скобки общего множителя:
а) x(x2 + ху + у2) - x(x2 - ху + у2);
б) (m(3m - 2п) - m(3n - 2m))n.
Популярные решебники 7 класс Все решебники
*размещая тексты в комментариях ниже, вы автоматически соглашаетесь с пользовательским соглашением