Упр.917(стар учебник) ГДЗ Дорофеев Суворова 7 класс (Алгебра)
Решение #1

Рассмотрим вариант решения задания из учебника Дорофеев, Суворова, Бунимович 7 класс, Просвещение:
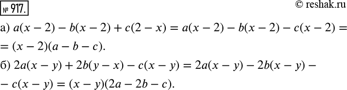
Вынесите за скобки общий множитель:
а) а(х - 2) - b(х - 2) + с(2 - x);
б) 2а(x - у) + 2b(у - х) - с(х - у).
Популярные решебники 7 класс Все решебники
*К сожалению, временные проблемы с публикацией комментариев с мобильных устройств.