Упр.910(стар учебник) ГДЗ Дорофеев Суворова 8 класс (Алгебра)
Решение #1

Рассмотрим вариант решения задания из учебника Дорофеев, Суворова, Бунимович 8 класс, Просвещение:
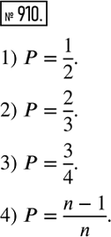
1) В корзине яблоко и груша. Из нее наугад вынимают один фрукт. Какова вероятность того, что это яблоко
2) В корзине 2 яблока и груша. Из нее наугад вынимают один фрукт. Какова вероятность того, что это яблоко
3) В корзине 3 яблока и груша. Из нее наугад вынимают один фрукт. Какова вероятность того, что это яблоко
4) В корзине n яблок и груша. Из нее наугад вынимают один фрукт. Какова вероятность того, что это яблоко
Популярные решебники 8 класс Все решебники
*размещая тексты в комментариях ниже, вы автоматически соглашаетесь с пользовательским соглашением