Упр.865(стар учебник) ГДЗ Дорофеев Суворова 7 класс (Алгебра)
Решение #1

Рассмотрим вариант решения задания из учебника Дорофеев, Суворова, Бунимович 7 класс, Просвещение:
Доказываем (865 — 866)
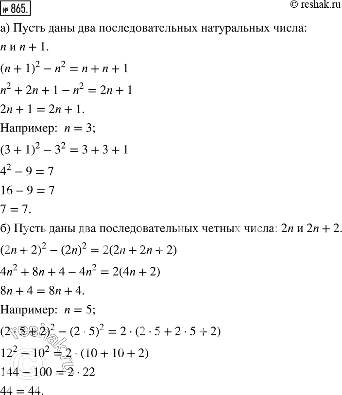
865 Докажите, что:
а) разность квадратов двух последовательных натуральных чисел равна сумме этих чисел;
б) разность квадратов двух последовательных чётных чисел равна удвоенной сумме этих чисел.
Проиллюстрируйте доказанные утверждения конкретными примерами.
Популярные решебники 7 класс Все решебники
*размещая тексты в комментариях ниже, вы автоматически соглашаетесь с пользовательским соглашением