Упр.83(стар учебник) ГДЗ Дорофеев Суворова 9 класс (Алгебра)
Решение #1

Рассмотрим вариант решения задания из учебника Дорофеев, Суворова, Бунимович 9 класс, Просвещение:
а) 12 - y < 5(y-1)/6;
б) 3(4x+3)/5 > 4x - 3;
в) (3z+6)/5 - (3z-8)/4 ? 2;
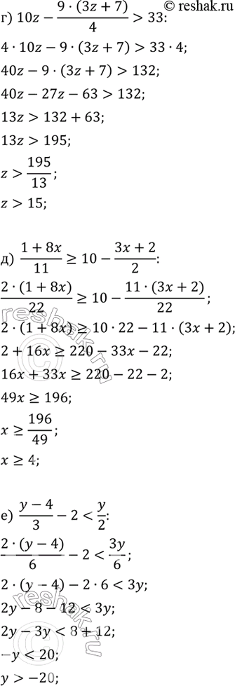
г) 10z - 9(3z+7)/4 > 33;
д) (1+8x)/11 ? 11 - (3x+2)/2;
е) (y-4)/3 - 2 < y/2.
Популярные решебники 9 класс Все решебники
*размещая тексты в комментариях ниже, вы автоматически соглашаетесь с пользовательским соглашением