Упр.82(стар учебник) ГДЗ Дорофеев Суворова 9 класс (Алгебра)
Решение #1

Рассмотрим вариант решения задания из учебника Дорофеев, Суворова, Бунимович 9 класс, Просвещение:
а) 2y/3 - y/6 < 1;
б) (12-2x)/3 > (3x-1)/4;
в) (2z+9)/5 ? (1-3z)/7;
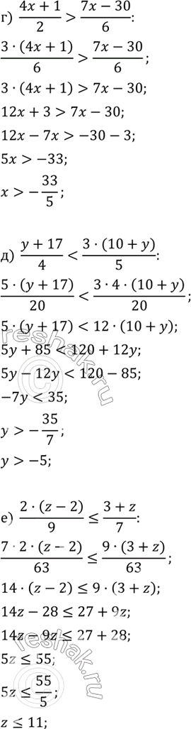
г) (4x+1)/2 > (7x-30)/6;
д) (y+17)/4 < 3(10+y)/5;
е) 2(z-2)/9 ? (3+z)/7.
Популярные решебники 9 класс Все решебники
*К сожалению, временные проблемы с публикацией комментариев с мобильных устройств.