Упр.771(стар учебник) ГДЗ Дорофеев Шарыгин 5 класс (Математика)
Решение #1

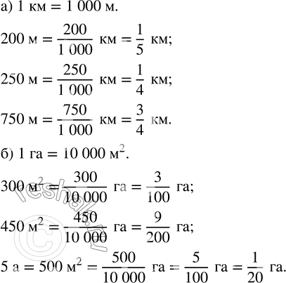
Рассмотрим вариант решения задания из учебника Дорофеев, Шарыгин, Суворова 5 класс, Просвещение:
а) Какую часть километра составляют 200 м? 250 м? 750 м?
б) Какую часть гектара составляют 300 м^2? 450 м^2? 5 а?
Популярные решебники 5 класс Все решебники
*К сожалению, временные проблемы с публикацией комментариев с мобильных устройств.