Упр.758(стар учебник) ГДЗ Дорофеев Суворова 8 класс (Алгебра)
Решение #1

Рассмотрим вариант решения задания из учебника Дорофеев, Суворова, Бунимович 8 класс, Просвещение:
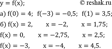
На рисунке 5.22 изображен график функции y=f(x). Найдите по этому графику:
а) f(0); f(-3); f(1);
б) значение x, при которых f(x)=2; f(x)=0; f(x)=-3.
Популярные решебники 8 класс Все решебники
*размещая тексты в комментариях ниже, вы автоматически соглашаетесь с пользовательским соглашением