Упр.757(стар учебник) ГДЗ Дорофеев Суворова 8 класс (Алгебра)
Решение #1

Рассмотрим вариант решения задания из учебника Дорофеев, Суворова, Бунимович 8 класс, Просвещение:
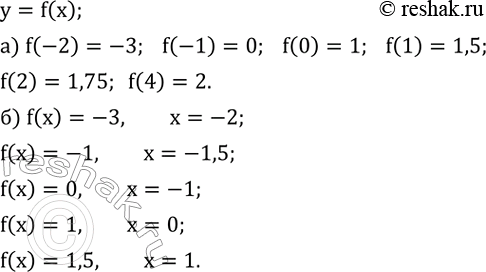
На рисунке 5.21 изображен график некоторой функции. Найдите по этому графику:
а) значение функции, соответствующее значению аргумента, равному -2; -1; 0; 1; 2; 4;
б) значение аргумента, при котором значение функции равно -3; -1; 0; 1; 1,5.
Популярные решебники 8 класс Все решебники
*размещая тексты в комментариях ниже, вы автоматически соглашаетесь с пользовательским соглашением