Упр.713(стар учебник) ГДЗ Дорофеев Суворова 8 класс (Алгебра)
Решение #1

Рассмотрим вариант решения задания из учебника Дорофеев, Суворова, Бунимович 8 класс, Просвещение:
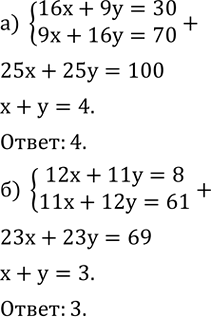
Найдите сумму x+y, если (x;y) - решение систему уравнений:
а) {(16x+9y=30
9x+16y=70)+
б) {(12x+11y=8
11x+12y=61)+
Популярные решебники 8 класс Все решебники
*размещая тексты в комментариях ниже, вы автоматически соглашаетесь с пользовательским соглашением