Упр.659(стар учебник) ГДЗ Дорофеев Суворова 8 класс (Алгебра)
Решение #1

Рассмотрим вариант решения задания из учебника Дорофеев, Суворова, Бунимович 8 класс, Просвещение:
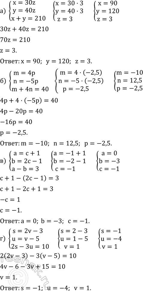
Решите систему способом подстановки:
а) {(x=30z
y=40z
x+y=210)+
б) {(m=4p
n=-5p
m+4n=40)+
в) {(a=c+1
b=2c-1
a-b=3)+
г) {(s=2v-3
u=v-5
2s-3u=10)+
Популярные решебники 8 класс Все решебники
*размещая тексты в комментариях ниже, вы автоматически соглашаетесь с пользовательским соглашением