Упр.65(стар учебник) ГДЗ Дорофеев Суворова 9 класс (Алгебра)
Решение #1

Рассмотрим вариант решения задания из учебника Дорофеев, Суворова, Бунимович 9 класс, Просвещение:
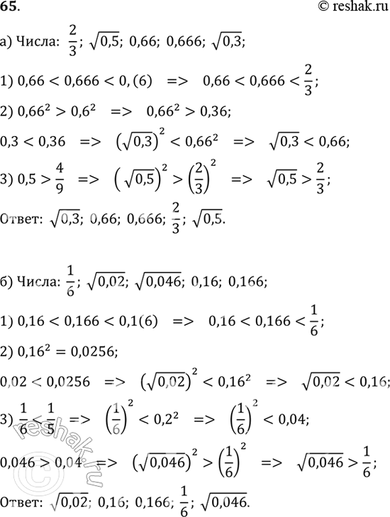
Не пользуясь калькулятором, расположите в порядке возрастания данные числа.
а) 2/3; v0,5; 0,66; 0,666; v0,3;
б) 1/6; v0,02; v0,046; 0,16; 0,166;
Популярные решебники 9 класс Все решебники
*размещая тексты в комментариях ниже, вы автоматически соглашаетесь с пользовательским соглашением