Упр.649(стар учебник) ГДЗ Дорофеев Суворова 8 класс (Алгебра)
Решение #1

Рассмотрим вариант решения задания из учебника Дорофеев, Суворова, Бунимович 8 класс, Просвещение:
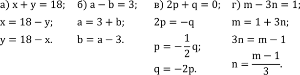
Выразите из уравнения сначала одну переменную, а затем другую:
а) x+y=18;
б) a-b=3;
в) 2p+q=0;
г) m-3n=1.
Популярные решебники 8 класс Все решебники
*размещая тексты в комментариях ниже, вы автоматически соглашаетесь с пользовательским соглашением