Упр.639(стар учебник) ГДЗ Дорофеев Суворова 8 класс (Алгебра)
Решение #1

Рассмотрим вариант решения задания из учебника Дорофеев, Суворова, Бунимович 8 класс, Просвещение:
Решите систему уравнений:
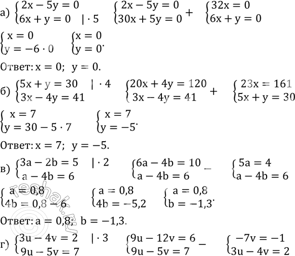
а) {(2x-5y=0
6x+y=0 )+
б) {(5x+y=30
3x-4y=41)+
в) {(3a-2b=5
a-4b=6 )+
г) {(3u-4v=2
9u-5v=7)+
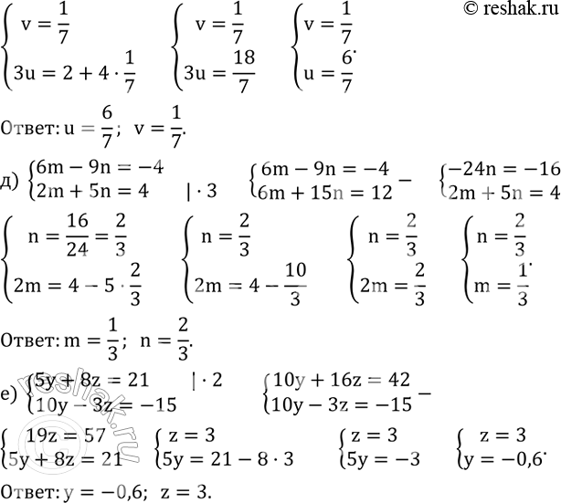
д) {(6m-9n=-4
2m+5n=4 )+
е) {(5y+8z=21
10y-3z=-15)+
Популярные решебники 8 класс Все решебники
*размещая тексты в комментариях ниже, вы автоматически соглашаетесь с пользовательским соглашением