Упр.636(стар учебник) ГДЗ Дорофеев Суворова 8 класс (Алгебра)
Решение #1

Рассмотрим вариант решения задания из учебника Дорофеев, Суворова, Бунимович 8 класс, Просвещение:
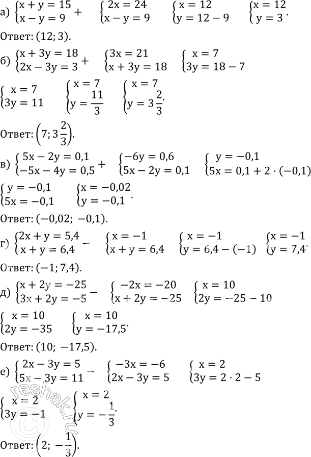
Решите систему уравнений:
а) {(x+y=15
x-y=9
б) {(x+3y=18
2x-3y=3
в) {(5x-2y=0,1
-5x-4y=0,5
г) {(2x+y=5,4
x+y=6,4
д) {(x+2y=-25
3x+2y=-5
е) {(2x-3y=5
5x-3y=11
Популярные решебники 8 класс Все решебники
*размещая тексты в комментариях ниже, вы автоматически соглашаетесь с пользовательским соглашением