Упр.635(стар учебник) ГДЗ Дорофеев Суворова 8 класс (Алгебра)
Решение #1

Рассмотрим вариант решения задания из учебника Дорофеев, Суворова, Бунимович 8 класс, Просвещение:
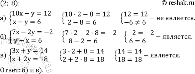
Является ли пара чисел (2;8) решением системы уравнений:
а) {(10x-y=12
x-y=6
б) {(7x-2y=-2
y-x=6
в) {(3x+y=14
x+2y=18
Популярные решебники 8 класс Все решебники
*размещая тексты в комментариях ниже, вы автоматически соглашаетесь с пользовательским соглашением