Упр.6(стар учебник) ГДЗ Дорофеев Суворова 7 класс (Алгебра)
Решение #1

Рассмотрим вариант решения задания из учебника Дорофеев, Суворова, Бунимович 7 класс, Просвещение:
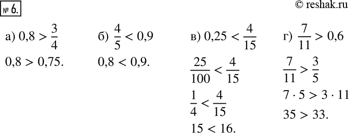
Сравните числа:
а) 0,8 и 3/4;
б) 4/5 и 0,9;
в) 0,25 и 4/15;
г) 7/11 и 0,6.
Популярные решебники 7 класс Все решебники
*К сожалению, временные проблемы с публикацией комментариев с мобильных устройств.