Упр.582(стар учебник) ГДЗ Дорофеев Суворова 7 класс (Алгебра)
Решение #1

Рассмотрим вариант решения задания из учебника Дорофеев, Суворова, Бунимович 7 класс, Просвещение:
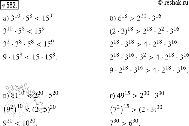
Рассуждаем Сравните:
а) 3^10 * 5^8 и 15^9;
б) 6^18 и 2^20 * 3^16;
в) 81^10 и 2^30 * 5^20;
г) 49^15 и 2^30 * 3^30.
Популярные решебники 7 класс Все решебники
*размещая тексты в комментариях ниже, вы автоматически соглашаетесь с пользовательским соглашением