Упр.577(стар учебник) ГДЗ Дорофеев Суворова 7 класс (Алгебра)
Решение #1

Рассмотрим вариант решения задания из учебника Дорофеев, Суворова, Бунимович 7 класс, Просвещение:
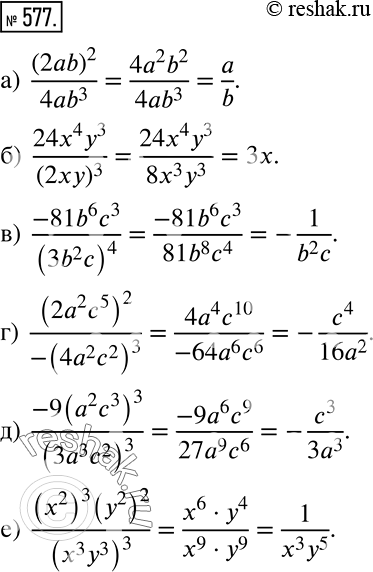
а) (2ab)2/4ab3;
б) 24x4y3/(2xy)3;
в) -81b6c3/(3b2c)4;
г) (2a2c5)2/-(4a2c2)3;
д) -9(a2c3)3/(3a3c2)3;
е) (x2)3(y2)2/(x3y3)3.
Популярные решебники 7 класс Все решебники
*размещая тексты в комментариях ниже, вы автоматически соглашаетесь с пользовательским соглашением