Упр.567(стар учебник) ГДЗ Дорофеев Суворова 8 класс (Алгебра)
Решение #1

Рассмотрим вариант решения задания из учебника Дорофеев, Суворова, Бунимович 8 класс, Просвещение:
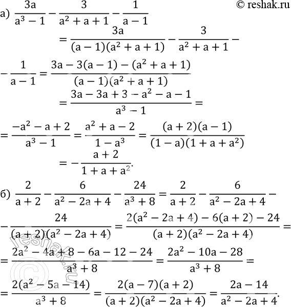
Упростите выражение:
а) 3a/(a^3-1)-3/(a^2+a+1)-1/(a-1);
б) 2/(a+2)-6/(a^2-2a+4)-24/(a^3+8).
Популярные решебники 8 класс Все решебники
*размещая тексты в комментариях ниже, вы автоматически соглашаетесь с пользовательским соглашением