Упр.563(стар учебник) ГДЗ Дорофеев Суворова 7 класс (Алгебра)
Решение #1

Рассмотрим вариант решения задания из учебника Дорофеев, Суворова, Бунимович 7 класс, Просвещение:
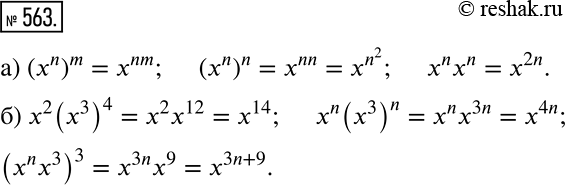
Выполните действия:
a) (xn)m, (xn)n, С…nС…n;
Р±) С…2(С…3)4, С…n(С…3), (С…nС…3)3.
Популярные решебники 7 класс Все решебники
*К сожалению, временные проблемы с публикацией комментариев с мобильных устройств.