Упр.560(стар учебник) ГДЗ Дорофеев Суворова 7 класс (Алгебра)
Решение #1

Рассмотрим вариант решения задания из учебника Дорофеев, Суворова, Бунимович 7 класс, Просвещение:
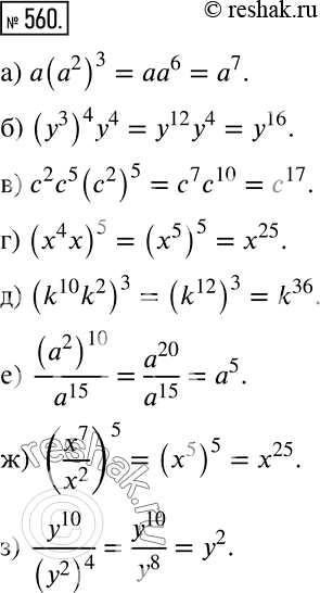
Упростите выражение:
а) а(а2)3;
б) (y3)4y4;
в) с2с5(с2)5;
г) (х4х)5;
д) (k10k2)3;
е) (a2)10/a15;
ж) (x7/x2)5;
з) y10/(y2)4.
Популярные решебники 7 класс Все решебники
*размещая тексты в комментариях ниже, вы автоматически соглашаетесь с пользовательским соглашением