Упр.556(стар учебник) ГДЗ Дорофеев Суворова 9 класс (Алгебра)
Решение #1

Рассмотрим вариант решения задания из учебника Дорофеев, Суворова, Бунимович 9 класс, Просвещение:
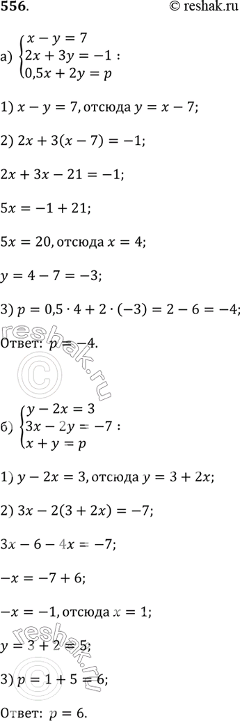
При каких значениях p система уравнений имеет решение:
а) x - y = 7 и 2x + 3y = -1 и 0,5x + 2y = p;
б) y - 2x = 3 и 3x - 2y = -7 и x + y = p?
Популярные решебники 9 класс Все решебники
*К сожалению, временные проблемы с публикацией комментариев с мобильных устройств.