Упр.555(стар учебник) ГДЗ Дорофеев Суворова 9 класс (Алгебра)
Решение #1

Рассмотрим вариант решения задания из учебника Дорофеев, Суворова, Бунимович 9 класс, Просвещение:
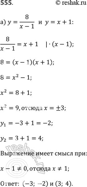
Вычислите координаты точек пересечения графиков функций:
а) y = 8/(x - 1) и y = x + 1;
б) y = x и y = 12/(x + 4).
Популярные решебники 9 класс Все решебники
*К сожалению, временные проблемы с публикацией комментариев с мобильных устройств.