Упр.554(стар учебник) ГДЗ Дорофеев Суворова 7 класс (Алгебра)
Решение #1

Рассмотрим вариант решения задания из учебника Дорофеев, Суворова, Бунимович 7 класс, Просвещение:
Упростите выражение:
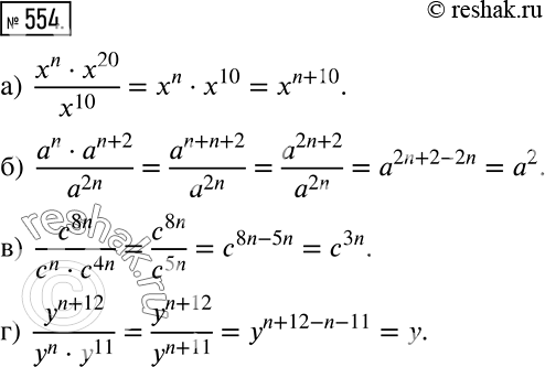
а) (xn * x20)/x10;
б) (an * a^(n+2))/a^2n;
в) c8n/(cn * c4n);
г) y^(n+12)/(yn * y11).
Популярные решебники 7 класс Все решебники
*К сожалению, временные проблемы с публикацией комментариев с мобильных устройств.