Упр.545(стар учебник) ГДЗ Дорофеев Суворова 7 класс (Алгебра)
Решение #1

Рассмотрим вариант решения задания из учебника Дорофеев, Суворова, Бунимович 7 класс, Просвещение:
Упростите выражение:
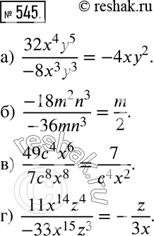
а) 32x4y5/-8x3y3;
б) -18m2n3/-36mn3;
в) 49c4x6/7c8x8;
г) 11x14z4/-33x15z3.
Популярные решебники 7 класс Все решебники
*К сожалению, временные проблемы с публикацией комментариев с мобильных устройств.