Упр.544(стар учебник) ГДЗ Дорофеев Суворова 7 класс (Алгебра)
Решение #1

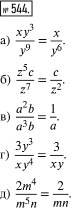
Рассмотрим вариант решения задания из учебника Дорофеев, Суворова, Бунимович 7 класс, Просвещение:
а) xy3/y9;
б) z5c/z7;
в) a2b/a3b;
г) 3y3/xy4;
д) 2m4/m5n.
Популярные решебники 7 класс Все решебники
*размещая тексты в комментариях ниже, вы автоматически соглашаетесь с пользовательским соглашением