Упр.542(стар учебник) ГДЗ Дорофеев Суворова 7 класс (Алгебра)
Решение #1

Рассмотрим вариант решения задания из учебника Дорофеев, Суворова, Бунимович 7 класс, Просвещение:
Упростите выражение:
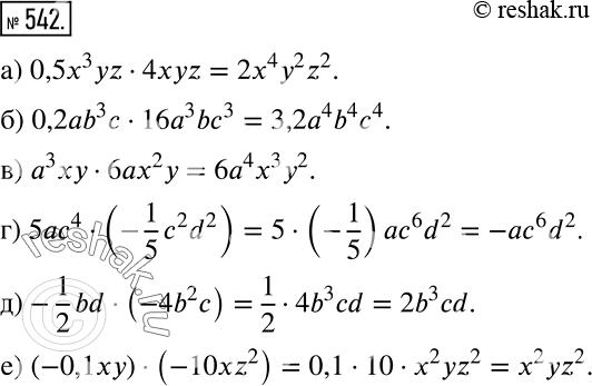
а) 0,5x3yz * 4xyz;
б) 0,2ab3c * 16a3bc3;
в) a3xy * 6ax2y;
г) 5ac4 * (-1/5*c2d2);
д) -1/2 * bd * (-4b2c);
е) (-0,1xy) * (-10xz2).
Популярные решебники 7 класс Все решебники
*размещая тексты в комментариях ниже, вы автоматически соглашаетесь с пользовательским соглашением