Упр.541(стар учебник) ГДЗ Дорофеев Суворова 9 класс (Алгебра)
Решение #1

Рассмотрим вариант решения задания из учебника Дорофеев, Суворова, Бунимович 9 класс, Просвещение:
a) 2(x^2 + 1/x^2) - 3(x + 1/x) + 2 = 0;
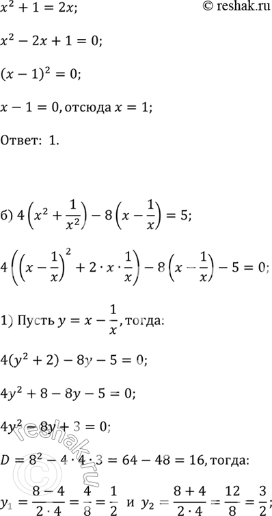
б) 4(x^2 + 1/x^2) - 8(x - 1/x) = 5;
Указание, а) Используя формулу a^2 + b^2 = (a + b)^2 - 2ab, выразите x^2 + 1/x^2 через x + 1/x. Далее введите замену: x + 1/x = y.
б) Выразите x^2 + 1/x^2 через x - 1/x.
Популярные решебники 9 класс Все решебники
*К сожалению, временные проблемы с публикацией комментариев с мобильных устройств.